Contoh Soal Investasi Jangka Pendek Dalam Saham Dan Jawabannya
Dibawah ini adalah informasi contoh soal congratulation pilihan ganda beserta jawabannya. Admin blog berbagi contoh soal 2019 juga mengumpulkan gambar gambar lainnya terkait contoh soal investasi jangka pendek dan jawabannya dibawah ini.
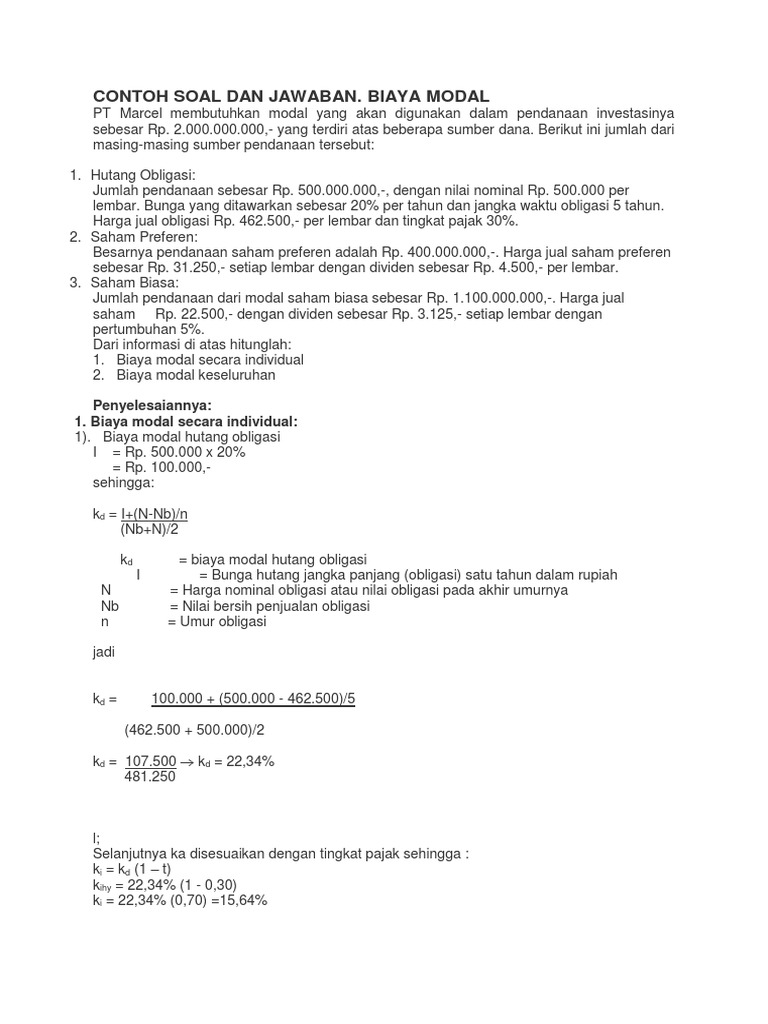
Contoh Soal Investasi Jangka Pendek Saham Berbagi Contoh
Latihan soal dan jawaban investasi saham.
Contoh soal investasi jangka pendek dalam saham dan jawabannya. Hitung nilai total utang, baik utang jangka pendek dan utang jangka panjang. Saham biasa adalah kepemilikan dalam sebuah perusahaan yang memberikan hak yang sama kepada para pemegang saham. Pada tanggal 4 januari 2020 perusahaan mendapatkan laba ditahan sebesar rp 70.000.000 dan akan dibagikan dalam bentuk dividen saham sebesar 10% dimana jumlah saham beredar adalah 7.000.
Soal dan jawaban time value of money. Pelajari tentang investasi dan rumuskan strategi investasi anda sebelum. Contoh soal obligasi kumpulan soal pelajaran 9 termasuk dalam kelompok utang jangka panjang antara lain.
Sumber total dana cost of capital obligasi rp. Doc soal keuangan leo yanmer academia edu. Contoh soal nilai obligasi dan jawabannya akan memungkinkan seseorang untuk menginvestasikan kelebihan kas daripada menyimpannya.
Jawabannya mungkin positif atau negatif. Pdf contoh soal dan jawaban obligasi neli muna neli academia edu. Pe3mbayaran bunga tiap tanggal 1 oktober dan 1 april.
Pt y melaporkan laba bersih sebesar rp 725.000.000 dan mengumumkan deviden sebesar rp 205.000.000 selama tahun 2012. Kurangi nilai total kewajiban dari nilai total aset. Contoh soal akuntansi xii docx.
Contoh soal saham dan obligasi beserta jawabannya soal pilihan ganda saham dan obligasi : Barangkali pada materi ini akan kalian temukan pada sekolah sma kelas 10 ataupun bisa jadi kelas 11 semester 1 ataupun 2. 30.000.000 18% saham biasa rp.
Admin blog berbagi contoh soal 2019 juga mengumpulkan gambar gambar lainnya terkait contoh soal investasi jangka pendek dan jawabannya dibawah ini. Sehingga, siapa saja yang ikut memegang saham perusahaan berarti ia ikut memiliki perusahaan, dan memiliki hak yang sama dengan pemegang saham yang lain sesuai porsi fraksional dari keseluruhan. Inilah pembahasan lengkap terkait contoh soal investasi jangka pendek dan jawabannya.
12.500 dari soal sebelumnya) an harga beli = 400 x rp 843,00 = rp 84.300 1) 4 hbs = 400 x rp 649.4452)= rp 617.284 4503) harga pokok saham baru = rp 701.584 jurnal investasi pada saham pt barong rp 701.584 investasi dalam hbs rp 649.445 kas rp 84.300 harga jual hbs. Dalam metode equity, pt merapi selaku investor, mengakui laba bersih yang diperoleh pt sindoro sebagai pendapatan dari investasi dalam saham pt sindoro dan dengan demikian menambah investasinya. Contoh soal dan jawaban hutang jangka pendek.biaya produksi terbagi atas 2 jenis yaitu biaya jangka pendek dan jangka panjang.
Risikonya lebih besar untuk perdagangan jangka pendek. Maka mungkin saja soal soal berikut ini dapat bermanfaat buat kalian dalam. Berikut informasi sepenuhnya tentang contoh soal investasi jangka pendek dan jawabannya.
Contoh soal obligasi jangka panjang dan jawabannya mengharuskan untuk cara menghitung harga jual obligasi dalam akuntansi dimana perusahaan dalam melakukan investasi dengan membeli sekuritas utang atau saham. Pt bersama fajar dalam membiayai investasinya menggunakan kombinasi beberapa sumber dana sekaligus, yaitu : 5000 000 00 dgn syarat 2 10 n 30.
Contoh soal obligasi premium kumpulan soal pelajaran 8. 40.000.000 14,7% *) saham preferen rp. Dalam setiap perdagangan tunggal anda mempertaruhkan jauh lebih sedikit dalam perdagangan hari daripada di eter perdagangan jangka pendek atau jangka.
Contoh soal saham dan obligasi beserta jawabannya soal pilihan ganda saham dan obligasi. Apabila saham dibeli secara tunai maka harga pokoknya adalah jumlah semua uang yang dibayarkan dalam pembelian tersebut yang terdiri dari harga kurs, biaya. Soal dan jawaban prodi akuntansi part 3 weareid.
Bagian laba bersih pt sindoro yang dipandang sebagai haknya oleh pt merapi adalah sebesar persentase pemilikan sahamnya yaitu 30%. 1 mei 2008 terjual 200 lembar obligasi 12 nominal 100000 kurs 98. Saldo investasi rp 14150000 3 soal 1 juni membeli 10000 lembar obligasi pt abc 7 dengan nominal rp 2000 berjangka waktu 6 tahun.
Latihan soal dan jawaban investasi saham pada tanggal 2 januari 2012, pt x membeli 40% saham yang beredar pt y. Contoh soal beserta jawaban investasi jangka pendek. The firm s financial manager expect that that these dividend will increase at a 10 annual rate g1 over the next 3 years 1004 2005 and 2006 because the introduction of a hot new boat.
Penanaman modal dalam saham biasanya memiliki fungsi untuk investasi jangka pendek yaitu sebagai pemanfaatan atas kas yang menganggur. Obligasi adalah istilah yang digunakan dalam dunia keuangan, yang merupakan pernyataan utang kepada pemegang obligasi dan emiten berjanji untuk membayar kembali modal dan bunga kupon di masa depan pada saat tanggal jatuh tempo pembayaran. Ayu menerbitkan 100 lembar obligasi 12 nominal perlembar sebesar 100000.
Jika nilainya positif, itu adalah jumlah yang dimiliki pemilik atau pemegang saham. 80 000 yang ditabung di bank dengan bunga 10 per tahun selama 10 tahun. Maka, jurnal penerbitan obligasi yang harus dibuat pada saat penjualan adalah
Contoh soal dan jawaban manajemen keuangan. Biaya jangka pendek dibagi menjadi 2 bagian yaitu berhubungan dengan tujuan biaya dan dengan perubahan frekuensi kegiatan. Melanjutkan tulisan contoh soal bahasa inggris kelas x semester 1 kurikulum 2013 beserta jawabannya pilihan ganda bagian pertama soal nomor 1 10 bagian pg kedua masih berisikan materi yang sama dengan pg dan essay bagian pertama yaitu tentang pronouns expressions of giving compliment expresson of.
Soal provisi dan materai rp 8.350 perhitung harga beli hbs (harga saham rp. Contoh soal saham dan obligasi beserta jawabannya soal pilihan ganda saham dan obligasi. Silahkan download untuk hasil yang memuaskan.
Contoh soal obligasi dan jawabannya kumpulan soal pelajaran 8. Fungsi yang kedua yaitu untuk investasi jangka panjang yaitu sebagai alat menguasai perusahaan lain. Kali ini kita akan membagikan soal ekonomi lagi yaitu mengenai pasar modal.
Contoh soal dividen saham dan jawabannya terjadi pada pt kakraffi yang dibangun dengan modal saham sebesar 10.000 lembar seharga rp 5.000 dan nilai wajar rp 6.000. Contoh soal beserta jawaban investasi jangka pendek tips dan cara menghindari penipuan bisnis investasi dituntut untuk lebih berhati hati sebelum meng investasi kan harta anda. Investasi jangka panjang obligasi ppt download.
Pada tanggal 1 maret dibeli 15 lembar saham pt diva nominal @rp5.000,00 kurs 101, biaya pembelian sebesar rp750,00. Investasi jangka pendek dan jangka panjang ppt jawaban soal 1a obligasi diketahui nominal 10 lbr 1 000 000 rp 10 000 000 kurs beli 103 bunga 12 per course hero
Contoh Soal Investasi Dalam Sekuritas Ekuitas Berbagi
Contoh Soal Investasi Jangka Pendek Dan Jawabannya
Contoh Soal Investasi Jangka Pendek Dan Jawabannya
Contoh Soal Dan Jawaban Investasi Obligasi Dunia Sekolah ID
Bahan Kuliah Pengantar Akuntansi Ii Utang Obligasi
Contoh Soal Investasi Jangka Pendek Dan Jawabannya
Contoh Soal Investasi Jangka Pendek Saham Berbagi Contoh
Intermediate Accounting Pages 201 244 Text Version Fliphtml5
Contoh Soal Investasi Jangka Pendek Dan Jawabannya
Contoh Soal Investasi Dalam Sekuritas Ekuitas Berbagi
Soal Pasar Uang Dan Pasar Modal
Contoh Soal Obligasi Konversi Dan Jawabannya
Contoh Soal Investasi Jangka Panjang Dalam Saham Berbagi
Contoh Soal Investasi Jangka Pendek Dan Jawabannya
Contoh Soal Penjualan Obligasi Dan Jawabannya
Contoh Soal Investasi Jangka Pendek Dan Jawabannya
Contoh Soal Investasi Jangka Pendek Dan Jawabannya

Comments
Post a Comment